Evaluation of Biosecurity Measures and Microbiological Quality of Table Eggs in Egyptian Layer Farms

Authors

  • Eman Hafez Department of Hygiene and Veterinary Management, Faculty of Veterinary Medicine, Benha University, 13736 Mushtuhur, Toukh, Qalioubia, Egypt https://orcid.org/0009-0007-6610-1460
  • Eman Nafei Department of Food Hygiene and Control, Faculty of Veterinary Medicine, Benha University, 13736 Mushtuhur, Toukh, Qaliobia, Egypt https://orcid.org/0009-0007-3423-3573
  • Mona Abdallah Department of Zoonoses, Faculty of Veterinary Medicine, Benha University, 13736 Mushtuhur, Toukh, Qalioubia, Egypt https://orcid.org/0000-0002-6474-7758
  • Eman A. El Akshar Department of Agricultural Microbiology, Faculty of Agriculture, Benha University, Moshtohor, Qalyubia, 13736, Egypt
  • Ahmed N. Elkattan Institute of Graduate Studies and Environmental Research, Damanhur University, 22511Damanhur, Egypt https://orcid.org/0000-0002-3179-7169
  • Manar Elkhayat Bacteriology, Immunology and Mycology Department, Faculty of Veterinary Medicine, Benha University, 13736 Mushtuhur, Toukh, Qalioubia, Egypt
  • Hala El Daous Department of Hygiene and Veterinary Management, Faculty of Veterinary Medicine, Benha University, 13736 Mushtuhur, Toukh, Qalioubia, Egypt https://orcid.org/0000-0003-4965-6652

DOI:

https://doi.org/10.12834/VetIt.3466.29418.2

Keywords:

Biosecurity, Housing systems, Hygiene indicating bacteria, Layer farms, Table Eggs

Abstract

Table eggs are widely favored for their affordability, simplicity, and appeal across all age groups. They are a rich source of high-quality proteins, essential amino acids, minerals, and vitamins—nutrients vital for maintaining good health. The hygienic quality of table eggs is influenced by several factors, including the type of housing system and the level of biosecurity implemented on farms. This study evaluated the hygienic quality of table eggs produced in Egyptian layer farms, examining egg production across different housing systems and biosecurity levels. A total of 70 egg samples (both eggshell and egg content) were collected from seven layer farms representing diverse housing conditions and biosecurity standards. Samples were analyzed for total aerobic plate count (TAPC) and the presence of hygiene-indicating bacteria, including Staphylococcus, Pseudomonas, Escherichia coli, Salmonella, and Shigella.

The results showed that farms with higher biosecurity scores (up to 97.5%), particularly those using closed battery systems, had significantly lower TAPC values and a reduced prevalence of pathogenic bacteria. In contrast, farms operating under open deep litter and backyard systems, with biosecurity scores of 30% and 22.5% respectively, exhibited notably higher microbial contamination. These findings underscore the crucial role of robust biosecurity practices and effective housing management in ensuring the hygienic quality of table eggs and protecting public health.

Introduction

The poultry and egg industries are dynamic and integral components of the agricultural sector, contributing significantly to global food production, economic stability, and nutritional security (Kumar et al., 2021). This diverse industry encompasses poultry farming for both meat and egg production, accounting for a major share of protein consumption. Poultry products are not only affordable but also widely preferred, making them a cornerstone of nutrition, particularly in regions such as Egypt. The global economic significance of the poultry industry extends to influencing national economies and individual livelihoods (Attia et al., 2022).

In Egypt, the adaptability of poultry farming is reflected in the diversity of housing systems, ranging from naturally ventilated (open) to artificially ventilated (closed) structures, with various flooring types such as deep litter and battery systems (Sharma et al., 2013). However, the success of poultry farming is closely linked to the implementation of effective biosecurity measures. The Food and Agriculture Organization (FAO) categorizes poultry production systems into four sectors based on biosecurity level (FAO, 2020). Consequently, strict adherence to biosecurity protocols is essential, as shortcomings in farm hygiene can lead to bacterial contamination, posing serious public health risks and causing significant economic losses (Racicot & Vaillancourt, 2009).

Implementing a well-structured biosecurity plan is vital in poultry production. Both external and internal factors—such as farm location, distance from main roads, traffic control, surrounding environment, farm building conditions, stocking density, feed and water quality, bedding hygiene, and management of visitors and workers—are critical components of a comprehensive biosecurity program (Soliman & Abdallah, 2019). To evaluate the effectiveness of such measures, a scoring system is commonly employed. Questions are divided into internal and external biosecurity categories, with responses generating numerical scores ranging from 0 (no biosecurity measures implemented) to 100 (full implementation). The total scores for internal and external biosecurity, along with subcategory scores, contribute to an overall biosecurity rating (Dewulf et al., 2018).

Complementing poultry meat production, egg production plays a vital role in agriculture. Table eggs are known for their affordability and high nutritional value, providing essential nutrients such as high-quality proteins, amino acids, vitamins, and minerals. Despite their value, table eggs may pose food safety concerns due to spoilage or the risk of foodborne illnesses, especially when consumed raw or undercooked, or when contaminated with pathogenic microorganisms (El Ftouhy et al., 2021; Tian et al., 2021). The safety and quality of eggs are influenced by several factors, including housing systems and the application of effective biosecurity practices. Contamination can occur via vertical transmission during egg formation or through horizontal transmission after oviposition, due to contact with feces, water, caging and nesting materials, insects, human handling, broken eggs, dust on egg belts, or soil (Indhu et al., 2014).

Eggs possess natural defense mechanisms such as mechanical barriers (eggshell and shell membranes), antimicrobial egg white proteins (e.g., lysozyme, conalbumin, avidin), and the alkaline pH of the albumen. Nonetheless, invading microorganisms may still proliferate within the egg yolk, which is highly conducive to microbial growth. Additionally, the eggshell—the outermost layer exposed to the environment—often harbors high concentrations of pathogenic bacteria and is prone to various forms of deterioration (Akbaş, 2014; Hamood et al., 2018; Senbeta et al., 2015).

Staphylococcus species, common commensals among laying hens, are frequently associated with food poisoning and egg spoilage (Haeghebaert et al., 2002; Szafraniec et al., 2022). Pseudomonas species are also highly detrimental to poultry production, leading to significant losses due to elevated mortality rates and causing characteristic green and pink rots (Jones et al., 1991). Moreover, Gram-negative bacteria such as Salmonella, Escherichia coli, and Shigella are ubiquitous in poultry environments and can be present throughout the poultry production pyramid. These bacteria may even be detected in the meconium of newly hatched chicks, representing a persistent contamination risk from production to consumption (Kamboh et al., 2018; Saliu et al., 2017).

A major gap persists in the egg industry regarding regulatory measures to ensure the safety of table eggs. Common issues include irregular egg grading at markets and production losses due to spoilage. Despite efforts to enhance safety during production, potential health risks remain. In this context, biosecurity at the farm level becomes a critical determinant in preventing bacterial contamination. Inadequate hygiene not only poses serious public health threats but also leads to considerable economic losses (Racicot & Vaillancourt, 2009).

This study aimed to evaluate the microbial contamination of table eggs and assess the impact of different housing systems and biosecurity levels on the presence of pathogenic bacteria in layer farms in Egypt.

Material and methods

Assessment of Layer Farms' Hygiene Scores:

A general biosecurity scoring system, adapted from Hafez (2022), was applied to assess the hygiene practices of layer farms. Both internal and external factors were considered, including visitor control, worker management, traffic regulation, farm surroundings, building conditions, feed and water hygiene, and litter management (Table I). The overall agricultural biosecurity score was calculated by summing the individual subcategory scores, following the approach described by Dewulf et al. (2018). The final score was expressed as a percentage of the maximum possible score.

Table. I. Different layer farms' biosecurity scores. Farms A (white egg), B (red egg), C (white egg), and D (red egg) are closed battery farms. Farm E is an open battery farm (red egg). Farm F is an open deep litter farm (white egg. Farm G is a backyard farm (white egg).

Sampling

Based on factors such as housing arrangements, variations in agricultural hygiene, and geographic location, seven Egyptian layer poultry farms were selected. These farms, located in the Qalioubia Governorate—which has the highest poultry and egg production in Egypt—included closed battery farms (A, B, C, D), an open battery farm (E), an open deep litter farm (F), and a backyard farm (G). A power analysis was conducted using SAS 9.4, with a statistical power of 0.90 and an alpha level of 0.05, to determine the appropriate number of eggs to be collected.

Egg samples were promptly transported to the laboratory within 3 hours of collection, using a dry, insulated ice box equipped with gel packs to preserve sample integrity and prevent biological changes. Following collection, 35 eggshell swab samples were processed, and an additional 35 samples of egg contents were subjected to homogenization and thorough mixing using a tissue homogenizer (Chetan Biotech & Digital Devices, Rajasthan, India).

Determination of Total Aerobic Plate Count (TAPC).

Samples were serially diluted tenfold, and 1 mL from each dilution was transferred onto sterile Petri dishes, followed by the addition of plate count agar using the pour plate technique. After aerobic incubation at 37°C for 24 hours, the total aerobic plate count (TAPC) was determined as described by Zakki et al. (2017).

Isolation and Biochemical Identification of Some Hygienic Indicator Bacteria From Eggshell and Egg Content.

Isolation and Biochemical Identification ofStaphylococcusspp.

Isolation and biochemical identification of Staphylococcus spp. were performed as described by Perez & Ancuelo (2022). In brief, eggshell swabs and egg content samples were streaked onto Baird-Parker agar (BP) (Lab M LTD., UK) supplemented with egg yolk telluride emulsion, followed by incubation at 37°C for 48 hours. Colonies exhibiting the characteristic morphology of Staphylococcus spp.—round, black, convex, and with or without a clear halo on BP agar—were subjected to further biochemical identification. Biochemical assays, including the mannitol fermentation test (positive except for Staphylococcus epidermidis), coagulase test (negative except for Staphylococcus aureus), catalase test (positive), nitrate reduction test (positive), and oxidase test (negative), were conducted on freshly isolated colonies. Additionally, a tube containing sterile media was included as a negative control for each biochemical test to ensure the absence of contamination during incubation.

Isolation and Biochemical Identification of Pseudomonas spp.

Isolation and biochemical identification of Pseudomonas spp. were performed as described by Sule et al. (2019). Briefly, eggshell swabs and egg content samples were streaked onto Cetrimide agar plates (Himedia, India) and incubated aerobically at 37°C for 24 hours. Colonies exhibiting a fruity odor and appearing as large yellow colonies with irregular growth were subjected to further biochemical identification. Tests included oxidase (positive), catalase (positive), urease (positive), Simmons citrate (positive), indole (negative), triple sugar iron (TSI) (negative), methyl red (negative), and Voges-Proskauer (negative). In addition, colonies were examined for pigment production, specifically green fluorescence.

For quality control, a tube containing sterile media was used as a negative control for each biochemical test to ensure the absence of contamination during incubation.

Isolation and Biochemical Identification of E. coli

Isolation and biochemical identification of Escherichia coli (E. coli) were performed as described by Ievy et al. (2020). In brief, eggshell swabs and egg content samples were streaked onto Eosin Methylene Blue (EMB) agar plates (Lab M LTD., UK) and incubated aerobically overnight at 37°C. Colonies exhibiting a characteristic metallic green sheen on EMB agar were considered presumptive for E. coli, and representative colonies were further confirmed using biochemical tests, including Triple Sugar Iron (TSI) test (positive), Simmons citrate test (negative), methyl red test (positive), Voges-Proskauer test (negative), and indole test (positive).

For quality assurance, a tube containing sterile media was included as a negative control in each biochemical test to ensure the absence of contamination during incubation.

Isolation and Biochemical Identification of Salmonella (ISO, 2017)

Eggshell swabs and egg content samples were initially pre-enriched in 5 mL of peptone water and incubated aerobically at 37°C for 24 hours. For selective enrichment, 1 mL of the pre-enrichment culture was transferred into 9 mL of Selenite F broth (Himedia, India) and incubated aerobically at 42°C for 24 hours. A tube containing sterile media was used as a negative control throughout the incubation process to ensure the absence of contamination.

Following enrichment, a loopful of the culture was streaked onto Salmonella-Shigella (SS) agar plates (Oxoid LTD, England) and incubated at 37°C for 24 hours. Suspected Salmonella colonies—appearing red with or without black centers—were selected and subjected to further biochemical confirmation.

For biochemical identification, the isolated colonies were purified and tested using standard methods. These included oxidase reaction, urea hydrolysis, Triple Sugar Iron (TSI) test, lysine decarboxylation, indole test, methyl red (MR) test, Voges-Proskauer (VP) test, and Simmons citrate test. Sterile media tubes were used as negative controls in all biochemical tests to ensure reliability and exclude contamination.

Isolation and Biochemical Identification of Shigella (ISO, 2004)

After pre-enrichment in peptone water (Himedia, India), the samples were incubated anaerobically at 41.5°C for 20 hours. For selective culturing, a loopful of the non-selectively enriched sample was streaked onto Salmonella-Shigella (SS) agar plates (Oxoid LTD, England) and incubated at 37°C for 24 hours. Colonies appearing colorless were considered presumptive for Salmonella and were subjected to further biochemical identification.

Suspected colonies were purified and biochemically identified according to MacFaddin (2000), using the following tests: oxidase reaction, urea hydrolysis, Triple Sugar Iron (TSI) test, lysine decarboxylation test, indole test, methyl red (MR) test, Voges-Proskauer (VP) test, and Simmons citrate test. For quality control, sterile media tubes were included as negative controls during incubation to verify the absence of contamination.

Statistical analysis

Statistical analysis was performed using ordinary one-way ANOVA in GraphPad Prism version 10.1.1 (GraphPad Software, LLC). One-way ANOVA was selected to compare the mean Total Aerobic Plate Count (TAPC) values across multiple farms and to determine whether statistically significant differences existed. Dunnett’s multiple comparisons test was applied to compare the TAPC values of each farm against those of Farm A, which utilized a closed battery system, in order to identify specific differences between farm systems. A significance level of P < 0.05 was considered statistically significant.

Panel graphs illustrating the TAPC data for both eggshell and egg content samples across the different farms were created using Inkscape. Additionally, a Chi-square test was employed to assess the statistical significance of differences in the prevalence of bacterial species isolated from various sample types across the seven layer farms under investigation.

Results

Farms Biosecurity Levels

The findings of this study revealed considerable variation in biosecurity levels among the surveyed farms. Farms B and D, which employed closed battery systems for red egg production, exhibited the highest biosecurity scores at 97.5%, followed by Farm A (closed battery, white eggs) at 92.5%, and Farm C (closed battery, white eggs) at 87.5% (Figure 1). In contrast, Farms E (open battery, red eggs), F (open deep litter, white eggs), and G (backyard, white eggs) demonstrated significantly lower biosecurity levels, at 60%, 30%, and 22.5%, respectively.

The biosecurity scores observed across the layer farms in this study reflect a range of management practices that influence farm hygiene and, consequently, the microbial quality of table eggs. Farms A, B, C, and D achieved higher scores by implementing comprehensive biosecurity measures designed to reduce infection risks and enhance product safety. These included effective farm isolation from neighboring farms, pets, pests, and external contaminants; the use of well-maintained wheel dips; and strict control of visitor and worker access through foot baths, dedicated clothing, hand sanitation, and showering facilities. Good litter hygiene—keeping it dry and clean—helped reduce eggshell contamination, while the design of automatic battery systems facilitated the separation of eggs from feces, resulting in cleaner eggs. Additional measures such as sourcing chicks from reliable suppliers, using water sanitizers, proper feed storage, and careful handling and storage of eggs further reinforced the biosecurity of these farms.

In contrast, Farms E, F, and G showed lower biosecurity scores due to practices that increase the risk of contamination. The presence of rodents, pets, and external pollutants—such as carcasses and farm waste—posed serious biosecurity threats. Lax visitor policies allowed unauthorized access to egg storage areas, while inadequate worker hygiene, including the absence of foot baths, protective clothing, and showering facilities, further compromised safety. Poor egg hygiene practices such as manual collection, improper sorting and storage, cracked or moist litter, and the absence of water sanitizers contributed to elevated levels of microbial contamination. Additionally, Farm G, a backyard system with birds of mixed ages and types, presented further challenges to maintaining biosecurity. These findings underscore how specific biosecurity practices directly influence biosecurity scores and, ultimately, the microbial safety and quality of table eggs produced.

Figure. 1. Biosecurity scores (%) of different layer farms. Farms A (white eggs), B (red eggs), C (white eggs), and D (red eggs) are closed battery farms. Farm E is an open battery farm (red eggs), Farm F is an open deep litter farm (white eggs), and Farm G is a backyard farm (white eggs).

Figure. 2. Total aerobic plate count (CFU/mL) of table eggs across different biosecurity levels and housing systems. 2.a. Total aerobic plate count (CFU/mL) of table egg shells. 2.b. Total aerobic plate count (CFU/mL) of table egg contents. Farms A (white eggs),<strong> </strong>B (red eggs), C (white eggs), and D (red eggs) are closed battery farms. Farm E is an open battery farm (red eggs). Farm F is an open deep litter farm (white eggs), and Farm G is a backyard farm (white eggs).

Total Aerobic Plate Count (TAPC) Trends In Table Eggs

Examination of table eggs revealed a significant increase in the Total Aerobic Plate Count (TAPC) of eggshell samples (Figure 2.a) compared to the TAPC of egg contents (Figure 2.b) from the same samples. Farm F, which employed an open deep litter system for white eggs, exhibited the highest TAPC values, with 946.67 ± 31.80 CFU/mL on eggshells and 51.00 ± 3.79 CFU/mL in egg contents. These values were significantly higher compared to those of Farm A, a closed battery system for white eggs, with P < 0.0001 for both eggshell and egg content TAPC.

In contrast, Farm E, utilizing an open battery system for red eggs, demonstrated the lowest TAPC values, with 22.67 ± 3.71 CFU/mL on eggshells and 10.67 ± 2.03 CFU/mL in egg contents. No significant difference was observed in TAPC values between Farm E and Farm A for either sample type.

Prevalence of Staphylococcus spp. and Pseudomonas spp. in table eggs

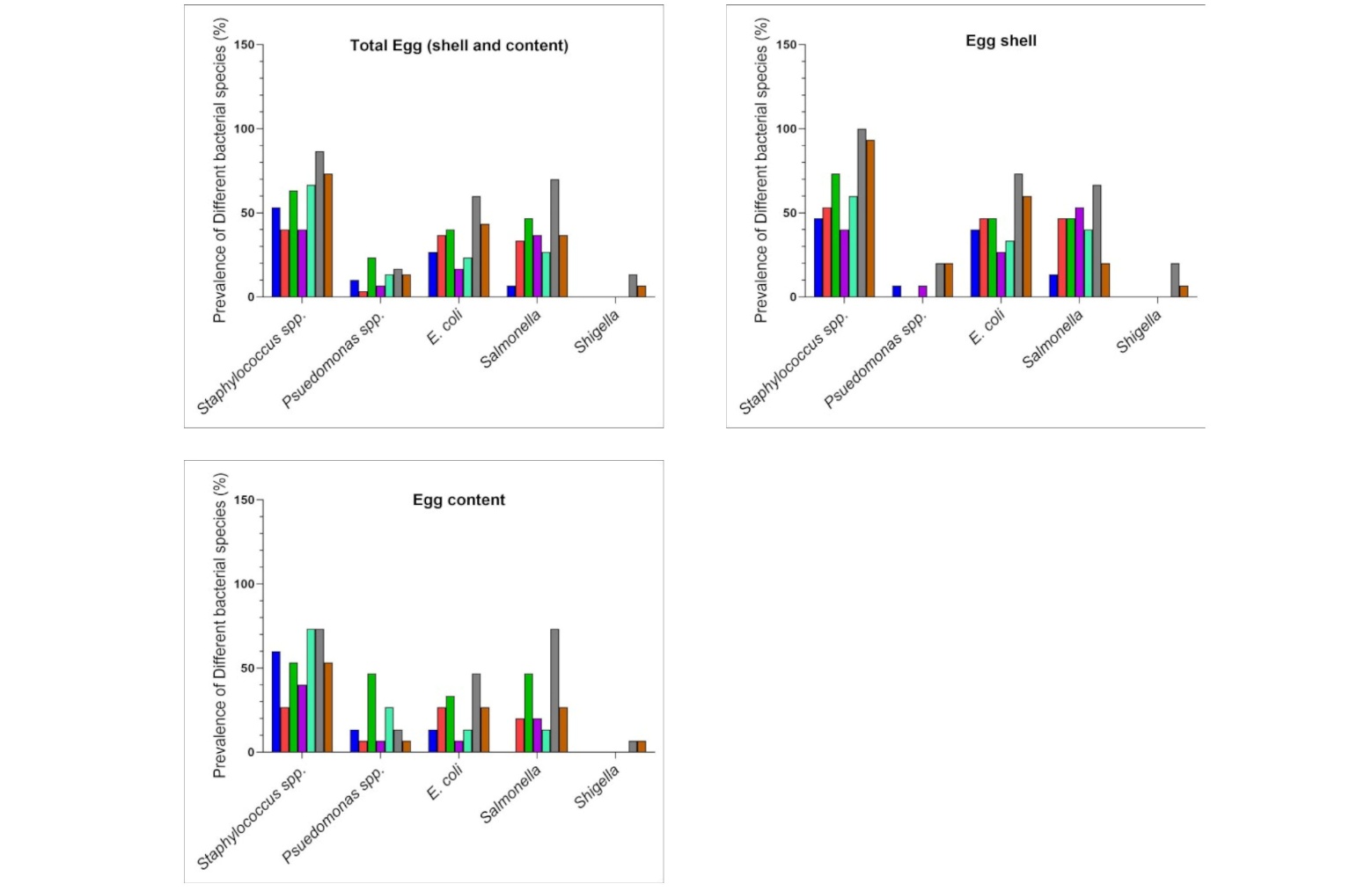
Figure. 3. Prevalence of different bacterial species isolated from table eggs collected from various layer farms. 3.a. Combined results for whole eggs (including shells and contents). 3.b. Eggshell samples. 3.c. Egg content samples. Farms A (white eggs), B (red eggs), C (white eggs), and D (red eggs) are closed battery farms. Farm E is an open battery farm (red eggs). Farm F is an open deep litter farm (white eggs), and Farm G is a backyard farm (white eggs).

Microbial examination for Staphylococcus spp. and Pseudomonas spp. (Figure 3) revealed distinct differences in prevalence across the surveyed farms. Farm F (open deep litter, white eggs) exhibited the highest prevalence of Staphylococcus spp. at 86.67%, while Farms B and D (closed battery, red eggs) showed the lowest prevalence, each at 40.00%. Regarding Pseudomonas spp., Farm C (closed battery, white eggs) recorded the highest prevalence at 23.33%, whereas Farm B had the lowest at 3.33%.

These variations in the prevalence of Staphylococcus spp., Escherichia coli, and Pseudomonas spp. among farms underscore the influence of biosecurity practices on microbial contamination of table eggs. Staphylococcus spp. and E. coli are common commensals of the avian gastrointestinal tract and are widely distributed in the poultry environment, including droppings, dust, skin, and nasal secretions—all of which serve as potential sources of egg contamination. Pseudomonas spp., also prevalent in poultry settings, thrive in moist environments and are often found in humid litter and pen areas, where they can proliferate and contaminate eggs.

The observed inverse relationship between biosecurity levels and bacterial prevalence highlights the critical role of biosecurity in maintaining microbial safety. Farms with high biosecurity standards exhibited lower prevalence rates of these commensal bacteria, thereby reducing the microbial load within the environment and minimizing the risk of egg contamination. This association suggests that the presence of Staphylococcus spp. and Pseudomonas spp. may serve as effective indicators of hygiene levels in poultry facilities, with lower prevalence reflecting improved sanitation and biosecurity measures.

Prevalence of some Enterobacteraciea in table eggs

Microbial examination for Escherichia coli, Salmonella spp., and Shigella spp. (Figure 3) showed that Farm F (open deep litter, white eggs) exhibited the highest prevalence rates for E. coli (60.00%), Salmonella spp. (70.00%), and Shigella spp. (13.00%). In contrast, Farm D recorded the lowest prevalence of E. coli at 16.67%, while Farm A had the lowest prevalence of Salmonella spp. at 6.67%.

Notably, Pseudomonas spp. were not detected in Farms A, B, C, and E, regardless of housing system (closed or open battery) or egg color (white or red). This absence may suggest that specific farm management practices or environmental conditions influence the presence of Pseudomonas spp. Further investigation is warranted to elucidate the underlying factors contributing to this observation.

Prevalence of different bacterial species in table eggs

The results indicated that the most prevalent bacterial species isolated from the sampled table eggs was Staphylococcus spp. (60.48%), followed by Escherichia coli (35.24%) and Salmonella spp. (34.76%). Statistical analysis using the Chi-square test (χ²) revealed significant variations in the prevalence of these bacterial species across the seven layer farms under investigation. Specifically, Staphylococcus spp., E. coli, and Salmonella spp. showed statistically significant differences in prevalence among farms, with P values of <0.001, <0.05, and 0.02, respectively.

In contrast, Pseudomonas spp. and Shigella spp. exhibited non-significant prevalence rates of 12.38% and 2.86%, respectively (P > 0.05) (Figure 4). These findings underscore the potential public health risks associated with microbial contamination of table eggs and emphasize the need for targeted intervention strategies to prevent the spread of these pathogens.

Figure. 4. Prevalence of different bacterial species for table eggs in Egyptian layer farms.

Discussion

Biosecurity measures are essential for maintaining poultry health and preventing the spread of infectious agents between flocks and into food products. This study assessed the influence of different housing systems on the hygienic quality of table eggs in Egypt, revealing considerable differences in biosecurity levels and their correlation with microbial contamination. The highest biosecurity scores (97.5%) were recorded in farms employing closed battery systems, which corresponded to the lowest total aerobic plate counts (TAPC) and minimal bacterial contamination. Conversely, open deep litter and backyard systems exhibited significantly lower biosecurity scores (as low as 22.5%), which were associated with increased microbial loads.

Among the farms assessed, those with closed battery systems—specifically Farms A (white eggs), B (red eggs), C (white eggs), and D (red eggs)—achieved the highest biosecurity scores, reflecting the successful implementation of comprehensive internal and external hygiene measures. These included isolation from other farms and animals, maintained wheel dips, regulated visitor and worker access, foot baths, designated clothing, hand sanitation, and well-kept litter. Automated collection and separation systems helped prevent fecal contamination of eggs, while hygienic storage, reliable chick sourcing, water sanitization, and proper feed management further enhanced outcomes.

In contrast, Farms E (open battery, red eggs), F (open deep litter, white eggs), and G (backyard, white eggs) presented reduced biosecurity scores due to the presence of rodents, pets, dead birds, and insufficient control of human traffic. Poor egg hygiene practices, cracked or damp litter, and the lack of water sanitizers contributed to elevated contamination levels. The backyard system (Farm G) posed the greatest challenge, as mixed-age flocks and absence of sanitation protocols increased microbial risks. These findings affirm the essential role of robust biosecurity protocols in reducing bacterial contamination and preventing disease transmission, as previously reported (Tanquilut et al., 2020).

Notably, the results demonstrated that the closed battery system produced the most hygienic outcomes, particularly evident in the significantly lower TAPC and bacterial prevalence on eggshells. This reduction may be attributed to mechanical egg collection, separation from droppings, and improved storage, which collectively limit bacterial exposure (Sharma et al., 2018). Additionally, farms with strong biosecurity showed the lowest prevalence of Salmonella, Shigella, Pseudomonas, E. coli, and Staphylococcus species, supporting the critical link between contamination risk and hygiene standards (Jambalang et al., 2017).

Across all samples, eggshells consistently exhibited higher TAPC than egg contents, likely due to natural antimicrobial defenses in the albumen—including lysozyme, conalbumin, and avidin—and the alkaline pH (Hamood et al., 2018; Senbeta et al., 2015). Despite these defenses, contamination of egg contents still occurred, particularly in poorly managed farms. The most prevalent pathogens isolated were Staphylococcus spp., Gram-negative bacteria from the Enterobacteriaceae family, and Pseudomonas spp., consistent with contamination routes involving soil, feed, water, dust, and human handling (Arathy et al., 2009; De Reu et al., 2007; Rajmani & Verma, 2011; Salihu et al., 2015).

Staphylococcus spp. emerged as the predominant Gram-positive bacterium, commonly found on eggshells and considered a significant contaminant (Al-Shadeedi, 2018; Pondit et al., 2018). E. coli and Salmonella spp. ranked next in prevalence, with Pseudomonas spp. also contributing notably to spoilage, especially under non-refrigerated conditions (Jay et al., 2005). Contamination levels above 10 CFU/g may result in off-flavors, odors, and spoilage (Carter et al., 1990). Moreover, the ability of Pseudomonas spp. to resist multiple antibiotics and tolerate harsh environments makes them particularly problematic. Their detection in both shell and contents in this study indicates poor sanitation and suboptimal storage.

Interestingly, higher bacterial counts in egg contents—particularly in farms storing eggs at 25°C—could be attributed to the loss of albumen viscosity and structural degradation. This includes mucin-lysozyme interaction, albumin protein destabilization, sugar-protein interactions, and loss of protective carbohydrates such as sialic acid, all of which facilitate bacterial growth. Previous research supports that eggs stored at ambient temperature harbor significantly more Pseudomonas than those refrigerated (Mendes, 2010).

According to the European Commission Directive (1993), the maximum acceptable level of Enterobacteriaceae in egg products is 2 log CFU. Yet, this study and others (Mansour et al., 2015) have shown a progressive microbial increase even under cold storage. While cooking generally neutralizes most pathogens, the risk remains with raw or undercooked egg consumption. The laying process itself presents a contamination risk, as Enterobacteriaceae can migrate through the cloaca and colonize eggs during shell formation (El Ftouhy et al., 2021). During this period, when the eggshell cuticle is not fully formed, bacteria can penetrate the shell and membranes more easily. Over time, as the cuticle dries and shrinks, shell pores become more vulnerable to bacterial invasion (Miyamoto et al., 1998a). Moisture, manure, and environmental factors further support Salmonella survival (Messens et al., 2006; Radkowski et al., 2002), while E. coli is readily transmitted via feces (Ferens & Hovde, 2011).

The low survival of Shigella spp. on eggshells is likely due to antimicrobial proteins in the shell matrix—such as ovocalyxin-36, lysozyme, and ovotransferrin (Hincke & Wellman-Labadie, 2008). Its prevalence is also tied to poor bedding, contaminated surfaces, and dirty cartons (Musgrove et al., 2009).

The findings of this study challenge the assumption that egg contents are sterile. The isolation of pathogens from internal contents underscores the risk of vertical transmission via the hen’s reproductive tract or post-laying penetration through the shell. Salmonella demonstrates particular resilience in albumen and yolk environments, capable of surviving despite low pH, antimicrobial proteins, and iron limitation by producing siderophores (Baron et al., 2004; Pinto et al., 2009). Once the yolk is breached—a nutrient-rich, less protected environment—Salmonella can proliferate rapidly, increasing the risk of foodborne illness (Gast & Holt, 2001).

The absence of Salmonella in closed battery farms may be attributed to stringent hygiene protocols (Fikiin et al., 2020). Similarly, E. coli’s growth is known to be enhanced under specific temperature conditions (Pinto et al., 2009), while Shigella spp. appear more vulnerable to egg albumen defenses, including lysozyme, ovotransferrin, and proteinase inhibitors (Gast et al., 2005).

Conclusion

In conclusion, effective farm biosecurity measures are essential for preventing bacterial colonization in table eggs and play a vital role in safeguarding public health. Housing systems and biosecurity levels were shown to significantly influence the hygienic quality of eggs, emphasizing the need for comprehensive preventive strategies. The battery housing system demonstrated clear hygienic advantages over deep litter and backyard systems, primarily due to reduced exposure to droppings, litter, and airborne contaminants. Furthermore, the implementation of strict biosecurity protocols minimizes the risk of contamination throughout the production chain—from handling and packaging to storage. These findings underscore the critical importance of biosecurity not only in enhancing food safety but also in supporting sustainable and responsible egg production.

Acknowledgement

The authors are grateful for the kind support and cooperation of Dr. Halla Kasem, Assistant Professor, Department of Hygiene and Veterinary Management, Faculty of Veterinary Medicine, Benha University, Egypt.

Conflict of interest

There is no conflict of interest.

Ethical Approval

This study was approved by the Ethical Approval committee, Faculty of Veterinary Medicine, Benha University, Egypt (BUFVTM 08-12-23).

Author Contribution

Conceptualization: EH, EN, MA, ME and HE; methodology: EH, EN, MA, EE, AE, HE and ME; validation, and data curation: HE and ME; writing—original draft preparation: EH, EN; writing—review and editing: HE and ME. All authors revised and edited the final version of the manuscript.

References

Akbaş, E. (2014). National Microbiology Standards. Volume I: Infectious Diseases Laboratory Diagnostic Guideline; Ankara, Turkey.

Al-Shadeedi S. (2018). Study the Microbial Contamination of Table Egg Containers and Packages in Baghdad. 10th International Poultry Conference-Proceeding.

Arathy, S., Vanpee, G., Belot, G., Vanessa, M., Claude, D., &Ravindra, N.S. (2009). Bacterial contamination of commercial chicken eggs in Grenada. West Indies. West Indian Veterinary Journal, 2009; vol. 9, no. 2, pp. 4–7.

Attia, Y.A., Rahman, M.T., Hossain, M.J., Basiouni, S., Khafaga, A.F. Shehata,& Hafez, H.M. (2022). Poultry Production and Sustainability in Developing Countries under the COVID-19 Crisis: Lessons Learned. Animals, 12(5), 1-12.doi:10.3390/ani12050644.

Baron, F., Briandet, R., Lesne, J., Humbert, F., Ablain, W., &Gautier, M. (2004). Influence of a nonfavorable environment, egg white, on resistance to heat and disinfectant, adhesion, and virulence of Salmonella enteritidis. J Food Prot. 67(10):2269-73. doi: 10.4315/0362-028x-67.10.2269.

Carter, G.R., &Cole, R.J. (1990) Diagnostic procedures in veterinary bacteriology and mycology. 5 ed. San Diego, California: Academic Press Inc., pp: 307.

De Reu, K., Heyndrickx, M., Grijspreedt, K. (2007). Estimation of the vertical and horizontal bacterial infection of hen's table eggs. in Proc. 2007; 18th European Symposium on the Quality of Poultry Meat and 12th European Symposium on the Quality of Eggs and Egg Products, pp. 55-56, Prague, Czech Republic.

Dewulf, J., Postma, M., Van Immerseel, F., Vanbeselaere, B., &Luyckx, K. (2018). How to measure biosecurity and the hygiene status of farms. In Biosecurity in animal production and veterinary medicine: from principles to practice (Chapter 5 pp. 115–132). ACCO. https://doi.org/10.1079/9781789245684.0115.

El Ftouhy, F., Nacer, S., Nassik, S., &Hmyene A. (2021). The problem of campylobacter spp. in poultry farming. Moroccan Journal of Agronomic and Veterinary Sciences, vol. 9, no. 3, pp. 541–548, 2021.

European Communities (1993). Microbiological Criteria for Egg Products. Egg Products Regulation, http://www.legislation. gov.uk/uksi/1993/ 1520/made, 1993.

FAO, (2020). FAO Viet Nam urges improved application of biosecurity along poultry production chain. http://www.fao.org/vietnam/news/detail-events/en/c/1098535/.

Ferens, W.A., &Hovde, C.J. (2011). Escherichia coli O157:H7: animal reservoir and sources of human infection. Foodborne Pathog Dis. 8(4):465-87. doi: 10.1089/fpd.2010.0673.

Fikiin, K., Akterian, S., &Stankov, B. (2020). Do raw eggs need to be refrigerated along the food chain? Is the current EU regulation ensuring high-quality shell eggs for the European consumers? Trends in Food Science & Technology, 100: 359-362. Doi: 10.1016/j.tifs.2020.04.003.

Gast, R.K., &Holt, P.S. (2001). Multiplication in egg yolk and survival in egg albumen of Salmonella enterica serotype Enteritidis strains of phage types 4, 8, 13a, and 14b. J Food Prot. 2001 Jun; 64(6):865-8. doi: 10.4315/0362-028x-64.6.865.

Gast, R.K., Guard-Bouldin, J., &Holt, P.S. (2005). The relationship between the duration of fecal shedding and the production of contaminated eggs by laying hens infected with strains of Salmonella enteritidis and Salmonella Heidelberg. Avian Dis. 49(3):382-6. doi: 10.1637/7322-010705R.1.

Haeghebaert, S., Querrec, F.L., Gallay, A., Bouvet, Gomez, M., & Vaillant, V. (2002). Les toxi-infections alimentaires collectives en France, en 1999 et 2000. Bull. Epidemiol. Hebd 23:105–109.

Hafez, E. (2022). Effect of hygienic level on spreading of bacteria in poultry house. (Thesis) Ph. D. Animal, Poultry and environmental Hygiene. Fac. Vet. Med. Benha university.

Hamood, M.F., Jasim, H.N., & AL-Hassani, A.S.A. (2018). Evalution of contamination statuse in imported and local table eggs, Iraqi Journal of Agricultural Sciences, vol. 49, no. 3, pp. 388–393, 2018.

Hincke, M.T., Wellman-Labadie, O., McKee, M.D., Gautron, J., Nys, Y., &Mann, K. (2008). Biosynthesis and structural assembly of eggshell components, In: Mine, Y. (Ed.), Egg Bioscience and Biotechnology, John Wiley & Sons, New Jersey, pp. 97-128.

Ievy, S., Islam, M.S., Sobur, M.A., Talukder, M., Rahman, M.B., Khan, M.F.R.,& Rahman, M.T. (2020). Molecular Detection of Avian Pathogenic Escherichia coli (APEC) for the First Time in Layer Farms in Bangladesh and Their Antibiotic Resistance Patterns. Microorganisms.8(7):1021. doi: 10.3390/microorganisms8071021.

Indhu, B., Muthusami, S., &Thirunavukkarasu, N. (2014). Studies on Microflora and their Role on Eggshell Contamination and Infection. Int. J. Pharm. Chem. Bio. Sci., 4 (3): 518-521.

International Organization for Standardization (2004). Microbiology of food and animal feeding stuffs — Horizontal method for the detection of Shigella spp. ISO NO 21567:2004.

International Organization for Standardization (2017). Procedures for detection of Salmonella in animal faeces and in environmental samples from the primary production stage.ISO NO. 6579-1:2017.

Jambalang, A.R., Buys, E.M., & Both, F.S. (2017). Bacterial species from retailed poultry eggs in Tshwane, south Africa: implication for consumers. South African Journal of Science, vol. 113, pp. 1–7.

Jay, J.M., Golden, D.A., &Loessner, M.J. (2005). Modern Food Microbiology, Springer Verlag, Berlin, Germany, 7th edition.

Jones, F.T., Axtell, R., Rives, D.V., Scheideler, S.E., Tarver, J., Walker, R., &Wineland MJ. (1991). A survey of salmonella contamination in modern broiler production. J. Food Prot. 1991; 54: 502-507.

Kamboh, A.A., Shoaib, M., HAbro, S., AKhan, M., KMalhi, K., &Yu, S. (2018). Antimicrobial Resistance in Enterobacteriaceae Isolated from Liver of Commercial Broilers and Backyard Chickens. Journal of Applied Poultry Research. 27 (4): 627-634. Doi: 10.3382/japr/pfy045.

Kumar, M., Dahiya, S., &Ratwan, P. (2021). Backyard poultry farming in India: A tool for nutritional security and women empowerment. Biological Rhythm Research, 52(10), 1476-1491.‏

MacFaddin, J.F. (2000). Biochemical tests for identification medical bacteria. Warery Press Inc, Los Anglos, USA.

Mansour, A.F.A., Zayed, A.F., &Basha, O.A.A. (2015). Contamination of the shell and internal content of table eggs with some pathogens during different storage periods. Assiut Veterinary Medical Journal, 2015; vol. 61, pp. 8–15.

Mendes,F,R. (2010).Qualidadefísica, química e microbiológica de ovoslavadosarmazenados sob duastemperatuas e experimentalmentecontaminados com Pseudomonas aeruginosa. 2010. 72f. Dissertação (MestradoemCiência Animal) - Escola de Veterinária/Universidade Federal de Goiás, Goiânia.

Messens, W., Grijspeerdt, K., &Herman, L. (2006). Eggshell penetration of hen's eggs by Salmonella enterica serovar Enteritidis upon various storage conditions. Br Poult Sci. 47(5):554-60. doi: 10.1080/00071660600954601.

Methaq, G., Noor, A.,&Moutaz, A. (2020). study of bacterial contamination of defected egg shell and egg contents in Baghdad city. Plant Archives. 20) Supplement 1: 2306-2308.

Miyamoto, T., Horie, T., Baba, E., Sasai, K., Fukata, T., &Arakawa, A. (1998). Salmonella penetration through eggshell associated with freshness of laid eggs and refrigeration. J Food Prot. 61(3):350-3. doi: 10.4315/0362-028x-61.3.350.

Musgrove, M.T., Jones, D.R., Shaw, J.D., Sheppard, M., &Harrison, M.A. (2009). Enterobacteriaceae and related organisms isolated from nest run cart shelves in commercial shell egg processing facilities. Poult Sci. 88(10):2113-7. doi: 10.3382/ps.2009-00021.

Perez, R.H., &Ancuelo, A.E. (2022). Isolation and Characterization of Staphylococcus spp. and the Unintended Discovery of Non-Staphylococcal Strains Associated with Bovine Mastitis in Region IV-A, Philippines. Philippine Journal of Science, 151(5), 1793-1805.‏

Pinto, A.T., Mendonça, A.D., &Silva, E.N. (2009). Isolated or associated experimental contamination of albumen and egg yolk for Salmonella Enteritidis and Escherichia coli – influence of temperature and storage time. Arq. Bras. Med. Vet. Zootec. v.61, n.1, p.128-134. doi: 10.1590/S0102-09352009000100018.

Pondit, A., Haque, Z.F., Sabuj, A.A., Khan, M.S.R., &Saha, S. (2018). Characterization of Staphylococcus aureus isolated from chicken and quail eggshell. Journal of Advanced Veterinary and Animal Research, 5(4), 466–471. https://doi.org/ 10.5455/javar.2018.e300.

Racicot, M., &Vaillan court, J.P. (2009).Evaluation of biosecurity measures based on video surveillance in poultry farms in Quebec and main failures. Bulletin de l'AcadémieVétérinaire de France, 162(3), 265-272.

Radkowski, M. (2002). Effect of moisture and temperature on survival of Salmonella Enteritidis on shell eggs. Archiv Fur Geflugelkunde. 66, 119-123.

Rajmani, R.S., Verma, S.P. (2011). Microbial flora of eggs and egg contents from organized and unorganized poultry farms. Indian Journal of Veterinary Research. vol. 20, no. 1, pp. 73– 76.

Salihu, M.D., Garba,B.,&Isah, Y. (2015). Evaluation of microbial contents of table eggs at retail outlets in Sokoto metropolis. Sokoto Journal of Veterinary Sciences, 2015; vol. 13, no. 1, pp. 22–28.

Saliu, E., Vahjen, W., &Zentek, J. (2017). Types and prevalence of extended–spectrum beta–lactamase producing Enterobacteriaceae in poultry. Animal health research reviews, 18(1): 46-57. Doi: 10.1017/S1466252317000020.

Senbeta, E.K., Zeleke, N.A., &Molla, Y.G. (2015). Chemical composition and microbial loads of chicken table eggs from retail markets in urban settings of eastern Ethiopia. Journal of Advanced Veterinary and Animal Research, vol. 2, no. 4, pp. 404–409, 2015.

Sharma, D., Singh, N.K., Singh, H., Joachim, A., Rath, S.S.,& Blake, D.P. (2018). Discrimination, molecular characterisation and phylogenetic comparison of porcine Eimeria spp. in India. Vet Parasitol. 15;255:43-48. doi: 10.1016/j.vetpar.2018.03.020.

Soliman, E.S., &Abdallah, M.S. (2019). Assessment of biosecurity measures in broiler's farms in the Suez Canal area - Egypt using a seasonal prevalence of Salmonellosis. Vet World. 13(4):622-632. doi: 10.14202/vetworld.2020.622-632.

Sule, I.O., Olorunfemi, A.A., &Otori, A.O. (2019). Mycological and Bacteriological Assessment of Poultry Droppings from Poultry Pens within Ilorin, Kwara, Nigeria. Science World Journal. 14(4), 11-16.

Szafraniec, G.M., Szeleszczuk, P., &Dolka, B. (2022). Review on skeletal disorders caused by Staphylococcus spp. in poultry. Veterinary Quarterly, 42(1), 21-40.‏

Tanquilut, N.C., Espaldon, M.V.O., Eslava, D.F., Ancog, R.C., Medina, C.D.R., Paraso, M.G.V., Domingo, R.D., &Dewulf, J. (2020). Quantitative assessment of biosecurity in broiler farms using Biocheck.UGent in Central Luzon, Philippines. Poult Sci. 99(6):3047-3059. doi: 10.1016/j.psj.2020.02.004.

Tian, L., Hu, S., Jia, J., Tan, W., Yang, L., Zhang, Q., Liu, X.,& Duan X. (2021). Effects of short-term fermentation with lactic acid bacteria on the characterization, rheological and emulsifying properties of egg yolk. Food Chem. 30;341(Pt 1):128163. doi: 10.1016/j.foodchem.2020.128163.

Zakki, S.A., Qureshi, R., Hussain, A., Ghias, W., Sharif, M., &Ansari, F. (2017). Microbial quality evaluation and prevalence of bacteria and fungus in different varieties of chicken meat in Lahore. RADS Journal of Pharmacy and Pharmaceutical Sciences, 5(1), 30-37.

Downloads

Published

2025-04-14

How to Cite

Hafez, E., Nafei, E., Abdallah, M., A. El Akshar, E., N. Elkattan, A., Elkhayat, M., & El Daous, H. (2025). Evaluation of Biosecurity Measures and Microbiological Quality of Table Eggs in Egyptian Layer Farms. Veterinaria Italiana, 61(2). https://doi.org/10.12834/VetIt.3466.29418.2

Issue

Topics*

Paper