Comparison of immune responses to Brucella melitensis Rev.1 conjunctival or subcutaneous vaccinations in sexually immature endangered scimitar-horned oryx (Oryx dammah)

Authors

  • Louis Lignereux Faculty of Veterinary Medicine, Research Unit in Epidemiology and Risk Analysis Applied to Veterinary Sciences (UREAR-ULiège), Fundamental and Applied Research for Animals and Health (FARAH) Center, University of Liège, Liège, Belgium https://orcid.org/0000-0001-6493-9226
  • Maria Elena Pesci Terrestrial Biodiversity, Environment Agency- Abu Dhabi, Abu Dhabi, United Arab Emirates
  • Claude Saegerman Faculty of Veterinary Medicine, Research Unit in Epidemiology and Risk Analysis Applied to Veterinary Sciences (UREAR-ULiège), Fundamental and Applied Research for Animals and Health (FARAH) Center, University of Liège, Liège, Belgium https://orcid.org/0000-0001-9087-7436

DOI:

https://doi.org/10.12834/VetIt.3687.32568.2

Keywords:

allergic test, conservation, immune response, prevention, randomised controlled trial, serology, wildlife

Abstract

A single dose of 1-2 x 109 CFU of the Brucella melitensis Rev.1 vaccine strain was administered subcutaneously or conjunctivally to two groups of ten sexually immature scimitar-horned oryx (SHO). A third group of ten served as unvaccinated controls. These groups were housed together and bred, producing offspring. No clinical signs appeared during the week following administration. The rose Bengal test (RBT), a lateral flow assay (LFA), and the brucellin skin test (BST) were conducted before and during the experiment to assess humoral and cellular immune responses. These responses were rapid and strong. The cellular response was durable and similar in both groups, with 80% of vaccinated SHO still positive 184 weeks post-vaccination (PV). The conjunctival route resulted in a shorter serological response, with all animals RBT seronegative at 12 weeks PV, compared to 57% still positive at 74 weeks PV with the subcutaneous route. LFA positivity remained high in both groups until 30 weeks PV, then decreased faster in the conjunctival group. All SHO returned to LFA negativity by 74 weeks PV. No reactions to RBT and BST were observed in the control group or offspring. These findings offer a strategic approach for managing brucellosis outbreaks in captive SHO.

Introduction

Brucellosis, also known as Malta fever, is a debilitating zoonotic disease always associated with an animal reservoir in humans. It is caused by facultative intracellular Gram-negative bacteria, of the Brucella genus, which includes 12 known species (Kurmanov et al., 2022) with distinct preferred animal hosts. Among them, Brucella melitensis is responsible for ovine and caprine brucellosis and is the main cause of human brucellosis (Young, 1995).

Since its development in 1957 by Elberg et al., the attenuated live B. melitensis Rev.1 strain has been the central component to manage outbreaks in domestic ruminant species particularly when disease prevalence is “high” - typically equal or greater than 10% (Fensterbank et al., 1987; Benkirane, 2001; Blasco, 2010).

The Rev.1 vaccine provides long-lasting immunity, but vaccine-induced abortions in sexually mature females (Jiménez et al., 1989), and pseudo-horizontal transmission to the offspring through colostrum and milk limit its use to younger, sexually immature animals when pregnancy status is unknown. Because the subcutaneous administration induces a persistent serological reaction, hindering discrimination between vaccinated and infected individuals, the conjunctival route has been developed: it provides protection almost as good in young ewes 1, with a serological response usually disappearing within 4 months (Fensterbank et al., 1985).

Brucellosis outbreak management in wildlife aims at preventing spillover to domestic species and ultimately to humans (Godfroid et al., 2013). While culling might be an option in domestic species, it is usually not socially acceptable in wildlife due to conservation status (Ponsart et al., 2019). Vaccines might then be a realistic option for brucellosis control in wildlife species, but none is currently registered for use in these populations (Godfroid et al., 2010).

In preparation for controlling a B. melitensis biovar 1 outbreak 2 affecting captive endangered scimitar-horned oryx (Oryx dammah) (SHO), this study aims to evaluate potential side effects and compare the immunogenicity of a standard dose of B. melitensis Rev.1 vaccine administered via two different routes. Immunogenicity will be assessed by analysing the kinetics of antibody production and cell-mediated immune activation in sexually immature SHO of both sexes. Additionally, the study seeks to identify the possible interactions with testing strategies used in outbreak management. This is the first documented use of this vaccine in this species.

Material and methods

Animals and vaccines

In this experiment, we conducted a randomised controlled trial on 30 sexually immature (aged between two and 12 months old) and apparently healthy SHO. They originated from a parent group undergoing biannual active brucellosis serological surveillance with the rose Bengal test (RBT). This group was considered Brucella-free. The parent and the trialled groups were held in separate enclosures in, but isolated within, the collection affected by B. melitensis (Lignereux et al., 2022a). Physical isolation, with a buffer zone and strict biosecurity measures applied to the staff and to the equipment limited the risk of transmitting brucellosis.

On April 17, 2017, the 30 SHO were driven into a mechanical restrain device (Tamer junior®, Fauna Research, USA). They were aged, sexed, and identified with an ear tag and a subcutaneous microchip. Blood was collected via jugular venipuncture using plain vacuum tubes with clot activator and separation gel. The first steps of the brucellin skin test (BST) (see below) were performed with the injection of brucellin. After processing all 30 animals, the data was collated in a spreadsheet, and the SHO were randomly distributed into three experimental groups of ten animals each. One group would receive one single drop of OCUREV (CZ Veterinaria, Spain) batch #142477 in the right lower conjunctival sac, while one millilitre of CZV REV-1 (CZ Veterinaria, Spain) batch #153295 would be injected subcutaneously in the pre-scapular area in the second group. According to the manufacturer’s leaflets, each dose contains 1 to 2 x 109 colony forming units (CFU) of B. melitensis, strain Rev.1. This corresponds to the standard dose in small ruminants. The control group would be left unvaccinated.

The 30 SHO were recaptured three days after. The freeze-dried vaccines were reconstituted. The BST was read, and the Rev.1 vaccines were administered according to the schedule.

The three groups were housed together in the same enclosure for the entire experiment to ensure identical conditions and possible vaccine strain circulation.

Eventually, they reached sexual maturity and bred. Part of the animals were removed between weeks 30 and 74 for population management (brucellosis unrelated) reason. On October 25, 2020, 184 weeks post-vaccination (PV), during the last capture of the experimental groups, the offspring were tested with RBT and BST.

All tests and vaccines were stored in the dark at 6°C before use.

Clinical examination

Throughout the week following vaccination, we conducted daily monitoring of each animal for any clinical signs, such as discomfort or abnormal behavior, with particular attention to the sites of vaccine administration.

Tests and schedule

Serological tests

The humoral immune response was assessed with the RBT and a lateral flow assay (LFA) on serum.

The RBT (Bengatest®, Synbiotics, France) is a rapid buffered agglutination test. To perform the test, we mixed 30 l of an inactivated and concentrated solution of B. abortus strain 99 (Weybridge) stained with rose Bengal with an equal volume of serum on a clean, single-use microscope slide following the protocol outlined in (WOAH, 2022). We observed the agglutination pattern after four minutes of gentle agitation and considered the test positive when agglutination occurred. Separately, we assigned scores ranging from 0/6 (negative) to 6/6 (very strong positive) to semi-quantify each result. The characteristics for interpretation of each score are given inAppendix 1

In addition to the RBT, we employed a LFA (Antigen Rapid Bovine Brucella Ab Test Kit, RB2301DD, Bionote, South Korea). It is a chromatographic immunoassay based on the deposition of an invisible band of B. abortus 1119-3 lipopolysaccharide (LPS) on a nitrocellulose membrane. Sera were used and the test was performed following the manufacturer’s instructions. We scored for each result, with the interpretation detailed in Appendix 1.

Allergic test

The cell-mediated immune response was evaluated with the brucellin skin test (BST) (Saegerman et al., 1999). We clipped a 5x5cm skin area in the middle of the neck’s left side and we measured its skinfold with a vernier calliper to the nearest ½ mm. The Brucellergene OCB (Synbiotics, France) is a freeze-dried purified protein extract supplied in a sealed vial devoid of oxygen and kept in obscurity at 6C. We reconstituted it and injected 0.1ml intradermally in the center of the clipped area with an insulin syringe and needle. This is equivalent to 200 units of B. melitensis B115 rough brucellin protein extract.

After three days, the same veterinarian measured the same skinfold. Both measurements were reported. A reaction was considered positive if the skinfold thickness increased by more than 1mm (i.e., equal or greater than 1.5mm), which is modified from (Saegerman et al., 1999).

Testing schedule

We tested serologically and intradermally all animals three days before vaccination.

We performed the RBT after 2, 4, 12, 30, 74 and 184 weeks, and the LFA at 2, 4, 12 and 30 weeks PV. We conducted the BST at 4, 12, 30, 74 and 184 weeks PV. The specific vaccination and testing timeline is provided in Supplementary material 1.

Statistical Analysis

The Agresti-Coull (modified Wald) method was used to calculate the 95% confidence intervals (CI) for the percentages of positivity while the binomial method was used to calculate the 95% CI for the means.

Homogeneity of the three groups was evaluated with the sex and age distributions, with a Chi-squared test and a one-way ANOVA, respectively.

For each pair of experimental conditions (control vs. conjunctival route; control vs. subcutaneous route; conjunctival route vs. subcutaneous route) at each sampling time point and for each of the three tests, we compared the mean percentage of SHO that tested positive and the mean score of the reactions, using a mixed effect analysis (Prism®, Graphpad, USA) because the number of animals was not the same over the length of the experiment. We applied the Tukey method 3 to correct the confidence intervals for multiple comparisons.

All p-values <.05 were considered significant.

Results and discussion

Group homogeneity

Group homogeneity was assessed with data presented in Supplementary material 2. The estimated age spanned from two months (59 days), to approximately 12 months old (366 days), with an average estimated age of 127.4 days. The three groups were homogenous, with age and sex distributed similarly in the three groups (F(2, 27) = 0.5511, p = .5827), (χ2(2 d.f., N=30) = 0.2679, p = .8747), respectively.

Immune responses to vaccines

We did not observe visible clinical signs or abnormal behavior during the week following the vaccination.

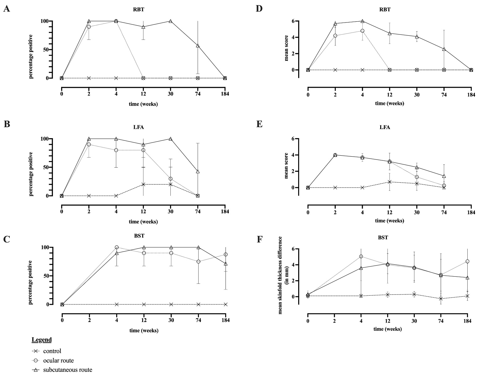
Figure. 1. Temporal evolution of the immune responses of scimitar-horned oryx following the administration of Brucella melitensis Rev-1 ocularly, subcutaneously, and in the control group. Diagrams A, B and C show the evolution of the percentage of SHO positive to the tests. Diagrams E and F show the evolution of the mean score attributed to the rose Bengal test (RBT) and to the lateral flow assay (LFA) Antigen rapid <em>B. </em><em>Brucella</em> test, respectively. Diagram G shows the evolution of the mean difference in skinfold thickness (in mm) during the brucellin skin test (BST). Diagrams A and D represent the results obtained with the RBT; diagrams B and E with the LFA, diagrams C and F with the BST. The time is shown in weeks after vaccination. The error bars represent the 95% confidence intervals.

All 30 animals tested negative for all three tests before vaccination (see Figure 1) and none of the control animals showed a positive reaction to either the RBT or the BST during the entire experiment, this demonstrates no evidence of false positive reactions, infection from the environment, or transmission of the vaccine strain from vaccinated to unvaccinated individuals. This last point aligns with observations made in vaccinated pregnant ewes and goats (Zundel et al., 1992) but differs from those in Alpine ibex (Capra ibex) vaccinated ocularly, where in-contact control ibex did seroconvert 4. Additionally, the repeated intradermal injection of brucellin during the multiple BST did not induce any measurable response in the control group, consistently returning negative results. This indicates that brucellin, did not sensitise the animals even when administered numerous times, in agreement with similar findings in cattle (Fensterbank et al., 1977).

Also, we found that the intensity of the reaction to brucellin does not decrease over time after repeated tests, which contrasts with the situation in cattle (Saegerman et al., 1999).

Although two animals elicited a positive LFA result in the unvaccinated group 12 (scores 2/6 and 3/6) and 30 weeks PV (score 2/6) (see Appendix 2). Because these reactions were transient and not associated with positivity to other tests, this outcome supports our previous suspicion of a lower LFA specificity (Lignereux et al., 2022b).

On the other hand, all vaccinated animals became positive to all tests.

Overall, the response measured with RBT was associated with a rapid onset and an elevated score (not statistically different between the vaccinated groups 2 weeks (p = .0558, see Appendix 3) and 4 weeks PV (p = .1002).

Among the 10 animals conjunctivally vaccinated, nine seroconverted after two weeks, with the remaining animal seroconverting after four. This animal returned to negativity almost immediately, but it had longer responses when measured with LFA and BST (see Appendix 2).

The response was short and 0% seropositivity was reached by 12 weeks PV and remained until the end of the experiment.

Other species presented slightly different results: while kids presented similar responses to the conjunctival vaccination, all becoming seropositive at 4 weeks PV, they all returned to seronegativity slightly later, at 16 weeks PV (Fensterbank et al., 1987). The situation in lamb is also different, with fewer animals seroconverting. Only 10% (n=30) (Fensterbank et al., 1982), to 45% (n=33) (Fensterbank et al., 1985) became RBT positive, which was also associated with a quick return to seronegativity starting at 4 weeks PV, and achieved at 10 weeks PV.

Conversely, mostly sexually mature Alpine ibex exhibited long-lasting serological reaction with all animals still positive 13 weeks PV (Ponsart et al., 2019). The age at vaccination might explain those differences more than taxonomic relatedness as the duration of the serological response to brucellosis vaccination is shorter in sexually immature animals (Fensterbank et al., 1987).

In contrast, all animals vaccinated subcutaneously remained positive until 30 weeks PV, apart from one animal found seronegative 12 weeks PV (see Appendix 2). The difference with the group vaccinated conjunctivally was significant 12- and 30-weeks PV (p < .0001, see Appendix 3). At 74 weeks PV, 57.14% (95% CI [100, 77%]) of the group vaccinated subcutaneously were still RBT-positive, but the humoral response faded away and no animal tested positive at 184 weeks PV.

This duration following the subcutaneous administration is longer in SHO than in domestic small ruminants. In lambs and kids, the percentage of RBT-positivity started to decline as soon as 4 and 8 weeks PV, respectively. Interestingly, the percentage of positivity plateaued at approximately 50% until the end of the experiments, which happened at 64 weeks in lambs (Fensterbank et al., 1982) and 32 weeks in kids (Fensterbank et al., 1987).

In comparison, the immune response following conjunctival vaccination measured with the LFA started as early, with all animals testing positive to LFA 2 weeks PV, but lasted longer than with the RBT: Nine animals (out of 10) remained positive 12 weeks PV instead of zero with the RBT, and the percentage of animals positive to LFA decreased to 30% (95% CI [64.6, 0]) 30 weeks PV, returning to 0% 74 weeks PV. On the other hand, the response to the subcutaneous vaccination followed an evolution with LFA like the one obtained with RBT.

The mean LFA score was similar in both vaccinated groups until 12 weeks PV (identical 2 weeks PV and not different 4- and 12-weeks PV, p>.9999), different 30 weeks PV (p = .0173), and not different 74 weeks PV (p = .1513) (see Appendix 3).

The percentage of positivity followed this evolution and was only significantly different between the vaccinated groups 30 weeks PV (p=.0034) (see Appendix 3).

To the best of our knowledge, no previous studies have used this test to evaluate the immune response following Rev.1 vaccination in other species.

It is noteworthy that the manufacturer of the LFA produces a similar rapid test, “Rapid GS.brucella Ab”, labelled for caprine and ovine brucellosis detection, which may have different levels of sensitivity and specificity.

Lastly, the cellular response measured by the BST is also rapid as it happened within 4 weeks PV in all vaccinated animals and persistent, lasting at least until the end of the experiment: five out of seven SHO that received the subcutaneous form and seven out of eight that received the ocular form were still positive to the BST 184 weeks PV (3 ½ years).

There was no significant difference at any time point between the two groups for both the percentage of positive animals (4-, 12- and 30-weeks PV p=.5951; 74 weeks PV p=.3358 and .7564 184 weeks PV, see Appendix 3) and regarding the skinfold thickness difference (4 weeks PV, p=.2671; 12-, 30- and 74-weeks PV p>.9999 and .1634 weeks 184 PV).

To the best of our knowledge, no information is currently available in domestic or wildlife species regarding such an extended duration of immune response, however (Pardon et al., 1989) reported that out of 50 ewes vaccinated with Rev.1 only four (8%) were positive to the BST performed on the eyelid three years PV.

No information regarding the cellular immunity provided by Rev.1 vaccine and the protection against brucellosis is available in SHO, but previous study has suggested that cellular immune response correlates with immunity in adult goats vaccinated subcutaneously with Rev.1 (Brinley Morgan et al., 1966).

It's worth noting that two individuals vaccinated conjunctivally presented fluctuating BST results: after testing positive 4 weeks PV, then turned negative either 12- or 74-weeks PV (see Appendix 2) but tested positive during the following testing. This finding raises concerns regarding the sensitivity of the BST.

Absence of positive test in non-vaccinated offspring

The offspring did not show any positive reactions in RBT (n=19) nor in the BST (n=17, excluding the two youngest animals aged 54 days). This observation is preliminary and might indicate an absence of transmission of the vaccine strain from the vaccinated adults to their offspring. Specific study associated with a bacteriological investigation should confirm this observation.

Limitation of the study

Logistical constraints posed some limitation: No live bacteria count in vaccine doses was performed and we relied solely on information from the manufacturer.

Conclusion

Both ocular and subcutaneous Rev.1 Brucella vaccines induced no adverse reaction in young SHO. but a rapid onset of immune responses and a persistent effect on the cellular response, lasting at least 3 ½ years. The conjunctival route gives a shorter-lived humoral immunity than the subcutaneous route, providing a benefit in the event of outbreak control with a test and isolation strategy. Furthermore, neither the control group nor the offspring responded to the vaccination of the animals in contact.

While assessing the efficacy of the vaccines, through a challenge test, and ensuring the absence of vaccine strain circulation are imperative, this preliminary study suggests that both vaccines could be beneficial in a brucellosis outbreak control strategy for this species, albeit with potential limitations in distinguishing between vaccinated and infected SHO.

Conflict of interest statement

The authors certify that they have no affiliations with or involvement in any organisation or entity with any financial or non-financial interest in the subject matter or materials discussed in this manuscript.

Statement of animals right

All animal experiments have been carried out according to the Technical Guidance Document for Scientific Research Permitting in Abu Dhabi Emirate EAD-TMBS-TG-02, 2016 5.

Data availability statement

The data that support the findings of this study are available from the corresponding author upon request.

References

Benkirane, A. (2001). Surveillance épidémiologique et prophylaxie de la brucellose des ruminants: L’exemple de la région Afrique du Nord et Proche-Orient. Revue Scientifique et Technique de l’OIE (France), 20(3). https://doi.org/10.20506/rst.20.3.1314.

Blasco, J.M., 2010. Control and eradication strategies for Brucella melitensis infection in sheep and goats. Prilozi 31, 145–165.

Brinley Morgan, W.J., Littlejohn, A.I., Mackinnon, D.J., Lawson, J.R., 1966. The degree of protection given by living vaccines against experimental infection with Brucella melitensis in goats. Bull. World Health Organ. 34, 33–40.

Environment Agency Abu Dhabi, 2016. Technical guidance document for scientific research permitting in Abu Dhabi Emirate [WWW Document]. URL https://www.ead.gov.ae/-/media/Project/EAD/EAD/Documents/ResearchHub/Research-Project-Technical-Guidance-Document.pdf (accessed 6.14.23).

Fensterbank, R., Doutre, M.P., Sagna, F., 1977. Étude de la brucellose bovine dans un village de Basse-Casamance (Sénégal). II. Diagnostic allergique. Rev. D’élevage Médecine Vét. Pays Trop. 30, 353–358. https://doi.org/10.19182/remvt.8072.

Fensterbank, R., Pardon, P., Marly, J., 1985. Vaccination of ewes by a single conjunctival administration of Brucella melitensis Rev. 1 vaccine. Ann. Rech. Vét. 16, 351–356.

Fensterbank, R., Pardon, P., Marly, J., 1982. Comparison between subcutaneous and conjunctival route of vaccination with Rev. 1 strain against Brucella melitensis infection in ewes. Ann. Rech. Vét. 13, 295–301.

Fensterbank, R., Verger, J.M., Grayon, M., 1987. Conjunctival vaccination of young goats with Brucella melitensis strain Rev 1. Ann. Rech. Vét. 18, 397–403.

Godfroid, J., Garin-Bastuji, B., Saegerman, C., Blasco, J.M., 2013. Brucellosis in terrestrial wildlife. Rev. Sci. Tech. OIE 32, 27–42. https://doi.org/10.20506/rst.32.1.2180.

Godfroid, J., Nielsen, K., Saegerman, C., 2010. Diagnosis of brucellosis in livestock and wildlife. Croat. Med. J. 51, 296–305. http://dx.doi.org/10.3325/cmj.2010.51.296.

Jiménez, de B.M., Marin, C.M., Barberán, M., Blasco, J.M., 1989. Responses of ewes to B. melitensis Rev1 vaccine administered by subcutaneous or conjunctival routes at different stages of pregnancy. Ann. Rech. Veterinaires Ann. Vet. Res. 20, 205–213.

Kurmanov, B., Zincke, D., Su, W., Hadfield, T.L., Aikimbayev, A., Karibayev, T., Berdikulov, M., Orynbayev, M., Nikolich, M.P., Blackburn, J.K., 2022. Assays for identification and differentiation of Brucella species: a review. Microorganisms 10, 1584. https://doi.org/10.3390/microorganisms10081584.

Lee, S., Lee, D.K., 2018. What is the proper way to apply the multiple comparison test? Korean J. Anesthesiol. 71, 353–360. https://doi.org/10.4097/kja.d.18.00242.

Lignereux, L., Chaber, A.-L., Fretin, D., Godfroid, J., Saegerman, C., 2022a. Brucella melitensis biovar 1 isolation in a captive wildlife population in the United Arab Emirates. First isolation in the scimitar-horned Oryx (Oryx dammah). Vet. Microbiol. 266, 109360. https://doi.org/10.1016/j.vetmic.2022.109360.

Lignereux, L., Chaber, A.-L., Nemery, Q., Godfroid, J., Saegerman, C., 2022b. Brucellosis seroprevalence in captive scimitar-horned oryx (Oryx dammah) in the United Arab Emirates and associated risk factors. Emerg. Anim. Species 5, 100016. https://doi.org/10.1016/j.eas.2022.100016.

Milward, F.W., 1995. Production and quality control of vaccines for brucellosis with a specific emphasis on Rev1 vaccine, in: FAO/WHO/OIE Round Table on the Use of Rev.1 Vaccine in Small Ruminants and Cattle. CNEVA - Alfort, France, CNEVA - Alfort, France, pp. 53–60.

Pardon, P., Sanchis, R., Molenat, G., Bouchard, N., Schmitt, D., Marly, J., Durand, M., 1989. Persistance des réactions sérologiques et allergiques consécutives à la vaccination par les vaccins H.38 ou Rev.1 de brebis en zone d’enzootie brucellique (Brucella melitensis). Ann. Rech. Vét. 20, 65.

Ponsart, C., Riou, M., Locatelli, Y., Jacques, I., Fadeau, A., Jay, M., Simon, R., Perrot, L., Freddi, L., Breton, S., Chaumeil, T., Blanc, B., Ortiz, K., Vion, C., Rioult, D., Quéméré, E., Sarradin, P., Chollet, J.-Y., Garin-Bastuji, B., Rossi, S., 2019. Brucella melitensis Rev.1 vaccination generates a higher shedding risk of the vaccine strain in Alpine ibex (Capra ibex) compared to the domestic goat (Capra hircus). Vet. Res. 50, 100. https://doi.org/10.1186/s13567-019-0717-0.

Saegerman, C., Vo, T.-K.O., Waele, L.D., Gilson, D., Bastin, A., Dubray, G., Flanagan, P., Limet, J.N., Letesson, J.-J., Godfroid, J., 1999. Diagnosis of bovine brucellosis by skin test: conditions for the test and evaluation of its performance. Vet. Rec. 145, 214–218. https://doi.org/10.1136/vr.145.8.214.

WOAH, 2022. Manual of diagnostic tests and vaccines for terrestrial animals 2022. Chap 3.1.4 Brucellosis (infection with Brucella abortus, B.melitensis and B. suis).

Young, E.J., 1995. An overview of human brucellosis. Clin. Infect. Dis. 21, 283–290. https://doi.org/10.1093/clinids/21.2.283.

Zundel, E., Verger, J., Grayon, M., Michel, R., 1992. Conjunctival vaccination of pregnant ewes and goats with Brucella melitensis Rev 1 vaccine: safety and serological responses. Ann. Rech. Vét. 23, 177–188.

Downloads

Published

2024-09-30

How to Cite

Lignereux, L., Pesci, M. E., & Saegerman, C. . (2024). Comparison of immune responses to Brucella melitensis Rev.1 conjunctival or subcutaneous vaccinations in sexually immature endangered scimitar-horned oryx (Oryx dammah). Veterinaria Italiana, 60(3). https://doi.org/10.12834/VetIt.3687.32568.2

Issue

Topics*

Special Issue Brucellosis